1、引言
在现代制造业中,高温合金凭借其优异的耐高温及耐腐蚀性能,被广泛应用于航空、航天、能源及汽车等重要行业。这些应用对材料的性能提出了极高的要求,尤其是在极端工作环境下[1]。在现实生产环节,对高温合金棒材的微观组织进行精确调控极为不易,例如在锻造过程中,GH4169合金中δ相的析出量、形貌和分布很难控制,而其对GH4169合金高温下的力学性能有很大影响[2]。GH4720Li合金在锻造棒材成型时,表面会出现裂纹以及粗晶层[3]。由于GH4037合金棒材轧态组织不均匀,棒材表层常常会出现粗大晶粒,造成探伤时出现杂波超标[4]。因此,如何有效地加工和改善高温合金的微观组织和机械性能,是材料科学和制造技术研究的重要课题。
径向锻造作为一种先进的金属成型技术,因其高效率、材料利用率高和能显著改善锻件的微观结构而受到工业界的广泛关注。径向锻造起源于1950年,属于一种独特的锻造技术。在锻造过程中,多对对称排列的锤头对坯料进行高频径向敲打,坯料的形状无论是方形还是圆形,都在机械手的夹持下旋转并轴向移动,从而在多锤头螺旋式变形下轴向伸长[5]。用于径向锻造工艺的机器称为精锻机,在国际上被称作径向锻造机。径向锻造机集成了液压传动、微电子、自动控制、网络通讯、传感测试等多项技术,是一种先进的少、无切削加工设备。目前全球主要的径锻机制造商有奥地利GFM、德国SMS等几家公司。中国境内的径锻机多从国外进口,比如久立集团引进了一台SMS18MN的液压径锻机。目前我国兰石集团成功研发了1.6MN的机械式径向锻造机,并构建了一条涵盖加热、锻造、矫直的全自动棒材径向锻造生产线。
目前高温合金棒材常常经过快锻、径向锻造或者“快锻+径向锻造”组合的方式进行制备。自由锻是从坯料心部向外变形,终锻温度低,表面会存在比较严重的冷变形组织,而且坯料外缘存在较大的小变形区,表面质量和精度较差。径向锻造是从坯料外缘向心部变形,会提高表面质量。此外,径向锻机由于锻打频率较高(每分钟最低锤击频次是快锻液压机的2倍),坯料在形变时产生的热量足以补偿其向环境散失的热量,使得其在加工过程中温度波动不大,几乎等同于恒温锻造[7]。因此径向锻造更适合窄热加工温度区间高温合金的锻造。
尽管径向锻造技术在实验和小批量生产中取得了显著进展,但在工业应用中仍面临诸多挑战,例如设备成本高、工艺参数控制复杂等问题。本文旨在综述径向锻造工艺的特点、以及高温合金在径向锻造过程中的组织变化和锻透性分析。重点分析了高温合金在径向锻造过程中存在的问题,提出可操作的解决方法,为高温合金的径向锻造工艺提供科学指导和技术参考。
2、径向锻造工艺简介
图1a展示了具备高频脉冲锻打与多方向模锻特性的径向锻造装置,其中高频脉冲锻打使得每次形变量较小,导致金属形变速率较低,金属流动距离短,摩擦力小,形变趋于均匀(图1b)。利用多达八个锤头沿径向对坯料进行锻造,使坯料处于三向应力状态,有助于增强金属的塑性。因此,径向锻造工艺生产的锻件具有优良的力学性能,内部组织致密,抗拉强度和冲击韧性优良[8],非常适合制造高温合金部件。

2.1径向锻造特点
径向锻造可以从坯料的温度上分为热径锻、冷径锻、温径锻3类,分别指坯料温度在完全再结晶温度以上、室温、室温以上完全再结晶温度以下的径锻方法[9]。热径锻是高温合金棒材成型常用的径锻方式。
2.1.1径向锻造工艺参数
径向锻造中比较关键的工艺参数影响因素有:旋转角度、轴向进给量、锻打频率、径向压下量和锻造温度。
(1)旋转角度:在径向锻造过程中,锻件会随夹持端的旋转而转动,因此旋转角度即是夹持端的转动角度。每次锤头锻造时,锻件都会转动一定角度,因此锻造出的棒材外缘实际是多边形。锻件的多边形边数直接受锻造时的旋转角度影响,而非锻件直径。边数增加,锻件形状更趋向圆形。在径向锻造机锻打次数固定的情况下,可以调整夹持端的旋转角度。选择旋转角度时应在保证产品外表质量的前提下,尽可能采用较高的旋转角度和较大的轴向进给速度,以提升生产效率[6]。
(2)轴向进给量:轴向进给量定义为单位时间内夹头轴向移动的距离。虽然可以通过增加轴向进给量来提高生产率,但会减少锻造过程中的锻打次数,从而可能导致锻件表面质量下降。增加轴向进给量会增大塑性变形区,一方面会增大设备负载,另一方面会提升锻件温度[10]。
(3)锻打频率:锻打频率是指单位时间内锤头对锻件的锻打次数,通常以每分钟的锻打次数来表示。在径向锻造工艺中,锻打频率是一个重要参数,直接影响生产效率、锻件成形质量以及设备负载。常见的径向锻造机的锻打频率范围在80~240r/min之间[11]。对于高温合金锻件,锻打频率通常较低,在80~120r/min之间,以确保锻件质量。
(4)径向压下量:径向压下量是指单次锻打时锻件径向尺寸的减少量。在设备承受范围内,应尽可能增大径向压下量,以增强锻件的锻透性并提升生产效率。不过,若径向压下量和轴向进给量同时过大时,锻件表面可能会产生螺旋状褶皱。因此,要根据轴向进给量、旋转角度等工艺参数,控制合适的径向压下量。
(5)锻造温度:锻造温度直接影响坯料的初始晶粒尺寸,进而影响锻造过程中锻件的组织演化。在径向锻造时,锻件热量的损失主要体现在坯料与外界环境的热交换以及坯料与锤头的热交换。在径向锻造过程中,锻造所需时间较短,而且锤头与锻件的接触时间较短,因此锻件的温降小,高速锻打时锻件心部温度会有显著升高。针对GH4169合金棒材径向锻造的研究表明,晶粒尺寸主要受始锻温度影响,而δ相的析出形态与数量则受终锻温度的影响,以上最终会影响成品棒材的组织和性能[12]。
2.1.2径向锻造工艺参数
径向锻造设备的锤头一般安装2个或4个。两锤头径向锻造机与传统的快锻机非常相似,因为都使用了两个锤头。然而,径向锻造机与传统的快锻机相比,具有更高的压下速率[13-14]。双锤头径向锻造机如图2a所示[15],经过适当的改造,该机器还可以使用四个锤头。锤头安装在通过偏心凸轮由单一驱动轴驱动的摇臂上。在工件变形后,锤头通过弹簧复位。通过调整螺纹套管,可以控制锤头之间的距离以及工件在轴向上的进给。由于锤头的快速冲击,锤头内部会产生大量热量。为了避免过热,锤头采用了水冷系统。一般来说,四锤头径向锻造机比两锤头径向锻造机更常用,如图2b所示[16]。四锤头径向锻造机的一个主要优点是可以在一个道次中生产方形和圆形工件,而两锤头径向锻造机通常需要进行多道次加工[17]。总体上,四锤头锻造机比两锤头锻造机更复杂且成本更高[18]。
根据驱动方式,径向锻造设备可分为三大类:机械驱动、液压驱动以及机液混合驱动(图2)。在机械驱动方式的锤头结构中,偏心轴驱动滑块机构,将旋转运动转换为直线运动,蜗轮蜗杆驱动的调节螺纹将这一运动传递至锤头。为确保锤头的同步运动,采用了一个齿轮系统来驱动四个偏心轴,该系统使得锻锤的行程位置能够通过四组蜗轮蜗杆实现同步或成对调节,以适应不同形状的工件,如图2c所示[16]。GFM公司开发的SX系列和SKK系列径向锻造机是此类设备的典型代表。
图2d展示了液压驱动的原理,即通过液压缸推动活塞,进而带动锤杆,实现锤头的往返运动[16]。全液压驱动的径向锻造机与机械驱动有所不同,它能根据锤头的下压量和负载情况,自动进行锻造速度和打击频率的无级调节。因为这些材料在变形过程中会产生显著的温升效应,这种特性特别适用于高温合金材料的锻造。通过控制变形速度和频次,可以避免过热或过度降温,从而保持在理想的变形温度区间内。锤头和模具直接连接在液压驱动的部件上,使得变形量和变形速率能够得到精确控制。典型的如SMS Meer公司研发的SMX系列径向锻造机、SMI系列径向锻造机。
图2e为机液混合式驱动的锤头设备,安装在八角形机架上的四个偏心轴,是锤头驱动力的主要来源。这些偏心轴由锻造箱内部的同步齿轮系统驱动。通过调整与偏心轴相连的液压垫的体积来控制锤头的行程位置。液压垫不仅负责行程的调节,还提供了过载保护,并能实时监测锻造力。由于液压垫体积小巧,使得锻造机的整体结构设计得非常紧凑[19]。该设备的锻打频率由偏心轴的驱动系统来决定。此类设备的典型代表如GFM公司研发的RF系列径向锻造机。

3、径向锻造过程中的组织演变
3.1加工硬化和回复
加工硬化和回复是温锻过程中与晶粒组织变化相关的两个重要过程[20]。加工硬化现象发生在锻造变形过程中,主要表现为材料形变增大、材料强度增加,而塑性下降。材料中位错密度的增加是加工硬化的重要因素,在塑性变形过程中,位错数量持续上升并相互缠绕,最终形成密集的位错结构(位错墙)。材料中的这些位错,经过位错增殖机制,逐渐形成密集的位错结构,最终导致材料强度的显著增加。在正常状态下,典型的位错密度约为10^11m^-2,而在变形加工后则显著增大到约10^16m^-2。回复和再结晶过程是影响锻件微观结构的关键因素,均受到加工硬化过程的影响[21]。在金属变形过程中,部分形变功被吸收,导致内能升高,结构缺陷增多。当材料重新被加热时将经历回复过程,此过程会降低位错密度,从而形成更稳定的晶格结构。
采用约化温度T=T/T_m(T为材料温度,T_m为材料熔点)进行温度区间的划分,主要分为3个区间:0.1<T<0.3为低温回复区间,点缺陷快速运动并且消失;0.3<T<0.5为中温回复区间,随着温度的提升,原子的活动能力加强,位错可能会发生滑移或交滑移,从而形成亚晶结构,导致位错密度降低;T>0.5为高温回复区间,由于原子活动能力持续增强,位错可能发生攀移和多边化等过程[22]。回复发生的程度与应变、温度和时间相关,通常随着变形的增加、温度的升高和时间的延长,材料的回复程度增加。此外,回复与材料的堆垛层错能有关,它代表材料内发生层错所需的能量,位错的滑移、攀移和交滑移将会受到层错的阻碍,进而阻碍回复过程的发生,因而材料的堆垛层错能越低(如镍基高温合金),越易发生回复;反之则材料的回复越难发生,继而材料中的位错密度会更高,亚晶结构相应地会较少。
3.2再结晶
高温合金在热变形过程中,主要依赖再结晶机制来实现晶粒的细化。当合金在塑性变形中累计的位错密度达到一个临界水平时,变形晶粒内部将形成细小且无明显缺陷的再结晶核心。这些核心在适宜的热变形条件下,能够吸收周围的变形晶粒逐渐长大,从而促进晶粒细化。再结晶行为主要包括动态再结晶(DRX)、亚动态再结晶(MDRX)、静态再结晶3种(SRX)[23]。其中MDRX和SRX又称为后动态再结晶[24]。
DRX指材料在热变形过程中发生的再结晶现象,也是径锻过程中晶粒细化非常重要的一部分。动态再结晶过程涉及两个阶段,即形核阶段和随后的长大阶段,新晶粒的产生会使材料的晶粒细化,从而提升零件的综合力学性能,根据本课题组研究,GH4169的动态再结晶形貌如图3所示。根据形成机制的不同,DRX可分为3类:不连续动态再结晶(DDRX)、连续动态再结晶(CDRX)以及几何动态再结晶(GDRX),具体分类如图4所示[25]。在镍基高温合金中,再结晶机制以DDRX为主,CDRX为辅[26]。不过也有学者发现,这3种类型的动态再结晶没有严格的分界线,极有可能同时发生[27]。


1950年,Beck等人[28]首次观察到了不连续动态再结晶现象。材料变形过程中,各晶粒的变形量有异,变形量大的晶粒,其内部储存的能量较高;变形量小的晶粒内的储存能较小。为了减少晶粒内部的形变储能,晶界会从形变储能低的晶粒向高的晶粒推移,进而实现材料能量的降低。非连续动态再结晶主要以晶界凸出的方式形核,在晶界迁移的过程中晶界扫过的区域位错密度会变为0,如果满足形核条件,晶界移动扫过的区域出现再结晶形核,在金相组织中表现为项链状态的组织[29]。不连续动态再结晶现象具有易于观察的长大过程。通常的动态再结晶过程如不进行特殊说明,即指不连续动态再结晶现象,这也是相关研究最多的一种动态再结晶形式。根据Azarbarmas研究发现,GH4169合金在不同温度不同应变速率下的再结晶机制,低温高应变速率时CDRX成为再结晶的主导,高温低应变速率时DDRX为主要的再结晶机制[30]。
连续动态再结晶主要是出现在变形程度较大,并且内部具有较高层错能的高温合金中,容易出现在具有高位错密度的三叉晶界处。连续动态再结晶主要以亚晶粒的合并形核以及长大的方式进行,形成过程如图5所示[31]。在外力作用下,晶界内部首先产生亚晶界,随后亚晶界随着位错数量的增多会将位错吸收,导致亚晶界角度增大,最终这些亚晶界转化为大角度晶界,从而形成再结晶的晶粒。转变过程会降低材料内部的变形能和位错密度,而且通过再结晶,也能形成均匀分布的细小再结晶组织,改善材料性能。Zhang等人[32]发现在较小的应变和较低的变形温度容易发生CDRX。Lin等人[33]认为CDRX发生在中等应变情况下,同时在较低的温度下也容易发生CDRX。

几何动态再结晶现象也与亚晶界和亚晶结构的转变相关,而其与DDRX的主要区别在于几何动态再结晶现象针对变形量极大的情况,在此种情况下晶粒在某一方向发生极大的变形,随着变形量的增大,原有晶界不断靠近,但亚晶结构几乎不发生变化。随着变形量的逐渐增加,原有晶界发生碰撞和合并而导致亚晶结构转变为新的晶粒,进而产生再结晶现象[34]。
通常材料在变形结束后的多道次保温过程中组织会发生进一步的演变,会发生后动态再结晶,如图6所示[23]。MDRX指DRX过程产生的再结晶晶核在变形后未发生长大的情况下,若材料的温度低于临界温度,这些再结晶晶核会直接发生长大过程并形成较高的形变层状晶粒组织。当材料在变形过程中的变形量小于此临界应变量,但变形后的储能大到足以在加热条件下驱动再结晶过程时,就会在材料中发生SRX现象,图7为静态再结晶组织示意图[35]。


3.3晶粒长大
晶粒长大过程是材料组织演化中的重要过程,其直接影响材料最终的晶粒尺寸。其机理是在一定的温度条件下,材料中组织的晶界能可能处于不稳定的状态,此时为降低局部能以达到更稳定的组织结构,材料中的晶界将会发生迁移和合并,以减少材料中晶界的总面积,相应地就会存在晶粒的增大、收缩与合并过程,其对于材料组织变化的反应就会是晶粒长大过程。根据课题组的研究,图8为锻态GH4169合金在不同温度下经过不同保温时间后的晶粒尺寸变化趋势。
晶粒长大过程在材料的各个热变形过程中均会发生,包括锻制时的热状态,变形过程和变形后材料仍处于较高温度的一段过程。晶粒长大过程主要受到温度、固溶元素、第二相颗粒和织构的影响,温度是其中最重要的影响因素[37]。其通过影响晶界的迁移驱动力和速度对晶粒长大存在明显的影响,温度升高会明显促进晶粒的长大过程。固溶元素和第二相颗粒对晶粒长大的影响主要源于其妨碍晶界迁移的钉扎效应,其具体影响与固溶元素和第二相颗粒的含量、类型、尺寸和分布等紧密相关,影响较为复杂。此外,若晶界迁移的驱动力未突破钉扎效应的阻碍,晶粒的长大速度将较为缓慢,之后逐渐达到一种稳定尺寸;钉扎效应导致晶界的再分布和析出过程,因此第二相粒子的存在将对晶粒长大有重要影响。由于第二相粒子将在长大过程中发生消耗和Ostwald熟化过程,钉扎效应将减弱,而若晶粒长大的驱动力突然增加了钉扎效应的阻碍,则晶粒将发生较为快速的长大,这称为奥氏体晶粒的粗化现象。晶粒生长过程中,织构的存在亦起到阻碍作用,原因在于织构较多的材料里,低能量的小角度晶界(亚晶界)较多,这些晶界会增大晶粒长大所需要的驱动力[38]。

4、径向锻造过程中的锻透性分析
在锻造过程中,坯料纵截面上塑性变形能达到的深度被称为锻透性。为了对锻透性进行量化分析,确立了锻透性的标准:若坯料心部的等效应变值超过0.2,判定为完全锻透(即锻透性达到100%)[39]。铸态材料通常含有缺陷(内部空洞、疏松和夹杂等),这些缺陷使得以铸态材料生产的产品无法满足力学性能的要求。径锻开坯可以消除金属在熔炼时产生的疏松缩孔等缺陷,并改善微观组织结构。由于径锻开坯可以较为完整地保存金属流线,因此开坯后材料的力学性能通常高于铸态材料,生产的产品也具备更优的力学性能和更长的使用寿命。晶粒组织的变形以及热激活状态下的动态再结晶和晶粒生长过程是铸锭开坯的本质。通过再结晶过程,铸锭可形成细小晶粒,从而获得加工性能良好的坯料,为后续加工提供便利[40]。
4.1经验三角形法
德国人最早根据经典理论提出了GFM精锻机的锻透性概念,该概念以锤头与坯料的接触长度作为底边,形成一个等腰直角三角形,据此三角形的深度来判定锻透性(图 9)[15]。图 9中, D为坯料的原始直径; A、 B、 C(等腰直角三角形顶点):AC代表锤头与坯料在锻造过程中的接触长度(作为三角形的底边)。根据 GFM经典理论,以AC为底边构造等腰直角三角形,顶点 B所在的深度被判定为该状态下的最大锻透深度。

式中: E为锻透深度(mm); h为单边压入量 (mm); α为锤头斜面与坯料的夹角 ( ∘)。

在后续的研究中,徐方等人[41]将原本用于预测径向锻造过程中圆柱坯料的锻透性三角形法则扩展至矩形截面件,并对其进行了相应的修正,提出了一种新的锻透性计算模型。栾谦聪等人[42]基于经验三角形公式,推导出了计算锻透性的新公式,即式(2),并采用MSC.Marc/Mentat有限元软件,从等效塑性应变和轴向应力分布的角度对径向锻造的锻透性进行了深入探讨。

式中: η fg 为锻透率; η z 为送进率; η rs 为半径比; β为锤头斜面与坯料之间的锐角角度。
4.2解析法
20世纪 70年代, Lahoti与 Altan[43]利用主应力法,构建了轴对称模型来分析管材的径锻工艺。该模型通过将管材内径设为零,进而推广到实心棒材的径向锻造分析。图 10[44]展示了管材在径向锻造过程中的变形区域被划分的 3个部分:缩径区(sinking zone)、锻造区(forging zone)和整形区(sizing zone),并在各个区域构建了简化的力学平衡方程。假设分流面位于锻造区,由于其两侧金属的轴向流动方向相反,摩擦力方向也是相反的,从而分别得到锻造区内分流面两侧的径向压应力分布。再基于分流点处径向压应力的连续性,建立了一个以分流面位置为未知数的非线性代数方程。通过求解这个方程,最终揭示了变形区内径向压应力分布与工艺参数(例如径向压下量、轴向进给速度、摩擦因子等)以及锤头结构参数(如锥角、整形区长度等)之间的关系。通过对各区域的压应力进行积分,便能够计算出径向载荷。

Yang[45]提出了一种数值方法,将滑移线场理论与上限定理相结合,并采用非线性优化技术进行计算,探讨了应力场、心部开裂的原因以及工件内部的锻透情况,提出了锻透性的概念并据此确定了合适的工艺参数。王振范等人[46]运用流函数法对 GFM的锻透性进行了研究,通过流函数分析了进给量、锤头尺寸和形状等因素对锻透性的影响。密栅云纹法(简称云纹法)是一种实验解析技术,其原理是将试样栅粘贴在试样上并一同经历变形,随后与基准栅重叠,利用重叠产生的云纹特征并结合塑性理论确定变形瞬间试样的应力-应变状态[47]。
4.3有限元分析法
随着计算机技术的进步,有限元分析技术在工业领域得到广泛应用。在径向锻造研究中,国内外学者普遍采用数值模拟的手段来探究不同工艺条件下应力、应变应变率、温度等场变量的分布规律[48]。基于分析维度的差异,现有的径向锻造有限元模型可分为轴对称模型和三维模型两大类。若忽略坯料的旋转及邻近锤头间的间隙,径向锻造过程可被简化为轴对称模型,从而显著降低模拟的复杂性。在径向锻造过程中,需要建立应力-应变本构模型以及晶粒组织演化模型对材料的锻造过程中的结果进行分析。
4.3.1材料应力-应变本构模型
为实现锻造过程及其过程中的晶粒演化过程的模拟,首先需要建立材料在变形过程中的应力-应变本构模型,接着实现工作成形过程的有限元模型建立和计算,再结合材料变形过程中的晶粒演化规律,建立锻造过程中的晶粒模型,实现对工作成形过程及其组织的模拟[49-50]。目前研究中应用的材料本构模型大体可以分为:唯象模型、基于物理意义的模型以及人工神经网络模型。
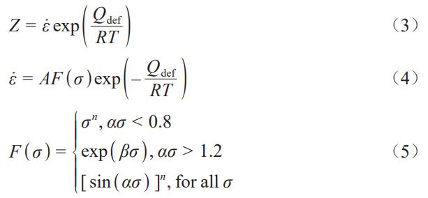
目前唯象模型得到了最为广泛的应用。典型的唯象本构模型包括 Johnson-Cook模型[51]、Arrhenius模型[52]、Fields-Backofen模型以及神经网络模型[53]等。在Arrhenius模型中,考虑了温度和应变率等因素对材料流变应力的影响,并基于变形激活能理论,在锻造过程模拟中应用相对较多。Arrhenius本构模型考虑温度和应变率与材料流变应力关系,在热变形过程的研究中,该材料模型尤其适用于高温条件,因而成为应用最为广泛的模型。其典型形式如公式(3)~(5)所示。

其中, σ为应力, n为应力指数,通过实验数据拟合得到。Z为 Zener-Hollomon参数,该参数由 Zener和 Hollomon[52]于 1944年提出,也是 Arrhenius本构模型的基础。其影响项包含应变速率 ε ˙、变形激活能 Q def 和温度 T, R为气体常数。方程中 A、 α、 β和 Q def 是通过拟合获得的参数, α = n β 其结果方程的两种表示形式如式(6)~(7)所示。

基本的 Arrhenius方程中未考虑应变率对材料流变应力的影响,这是其最大的问题。为填补此缺陷, Lin等人[54]将 Arrhenius方程中的 Q、 n、 ln A等参数引入关于应变量的五次多项式函数。此种修正后的 Arrhenius方程能适用于不同变形情况下的流变应力模拟,且具有较高的精度。
物理意义的材料本构模型是根据实际发生的物理过程的物理意义,从物理意义出发并完成对材料应力应变特性的阐明。此类模型的优点在于从理论出发,其处理过程和结果易于解释,其缺点则在于其对理论的阐释往往较为复杂,且易存在缺陷,较难与实际结果相匹配。
基于物理意义的流动应力模型较为典型的包括 Lin等人的模型[55]、 ZA模型[56]、 PTW模型[57]等,其中, Lin等人[55]提出的模型在材料热变形过程中还特别考虑了动态回复和动态再结晶现象对材料流变应力的影响。在构建初始塑性模型的过程中,将整个变形过程细分为 4个不同的阶段:加工硬化阶段、过渡阶段、软化阶段和稳态阶段。结合 4个阶段的机理对其过程中材料的流变应力进行计算,最终分别给出仅发生动态回复和同时发生动态回复和动态再结晶情况下材料的本构方程,如公式(8)、(9)所示[58]。仅发生动态回复条件下,方程(8)中 σ 0 为材料的屈服应力, σ DRV 为材料软化过程仅存在动态回复过程时最终达到的稳态流变应力,通常可以通过外推方法获得, Ω为材料位错密度随应变演化规律方程中的代表软化作用的系数。当同时发生动态回复和动态再结晶时,方程(9)中 K d 、n d 是需要拟合的参数; σ p 为峰值应力, σ DRX 为材料发生动态再结晶情况下最终达到的稳态流动应力, ε c 为动态再结晶的临界应变量。

4.3.2晶粒组织演化模型
为实现对于锻造过程组织的预测和控制,需要对锻造过程中晶粒组织演化过程进行精确、可靠的模拟。锻造过程中可能发生晶粒长大、加工硬化及回复、动态再结晶、亚动态再结晶和静态再结晶等过程。在这些过程中均可能发生组织变化,且亚动态再结晶由于与动态再结晶分开研究的难度大,而未对其进行考虑;静态再结晶过程时间较短(通常为数秒),而认为其影响相较于动态再结晶可以忽略。晶粒长大、加工硬化及回复、动态再结晶是锻造过程中主要需要考虑的 3种机制。
晶粒长大过程的经典方程由 Sellars等人[59]于1979年在其对热轧过程中材料的再结晶和晶粒长大的研究中提出,实验结果显示,在晶粒长大过程中晶粒的尺寸变化与初始晶粒度(d_0)、时间(t)、激活能(Q_{gg})、温度(T)相关,推导出的方程形式如方程(10)所示。

其中 m、 C为材料影响因子。该模型作为晶粒长大过程典型的宏观模型,得到了广泛的应用与研究。
加工硬化和回复过程的经典模型由 Mecking和Kocks[60]提出,该模型可被划分为两个主要部分:一部分是描述流变应力与位错密度之间关系,另一部分则是描述位错密度随时间的演化。对于流变应力与位错密度之间的关系模型,通常有方程(11)所示的模型。

其中, σ为流变应力, α为位错密度为 0时材料的初始流变应力, μ为材料的剪切模量, b为材料的伯氏矢量, ρ为材料常数。
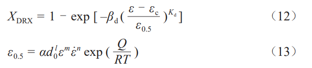
动态再结晶模型基本上可以划分为两大类:一类是宏观尺度模型,另一类是微观尺度模型。宏观尺度模型主要基于实验数据,考虑了热变形过程中温度、应变率、应变量以及初始晶粒尺寸等因素对动态再结晶的影响,提出经验性的方程并通过拟合的方式获得相关参数,实现对于动态再结晶过程的模拟[61]。目前应用最为广泛的是 Johnson-Mehl-Avrami-Kolmogorov(JMAK)模型[62],其模型在提出时是用于处理静态再结晶情况的,后续研究中将其应用于动态再结晶过程中,也对其再结晶比率和稳态晶粒尺寸的模拟上达到了较高的精度。JMAK模型考虑温度、应变率、应变量、初始晶粒尺寸等因素对动态再结晶过程的影响,其方程分为再结晶比率模拟部分和动态晶粒尺寸模拟部分,典型模型分别如方程(12)和(13)所示。

其中, X DRX 为动态再结晶发生的比率; K d 和 β d 为拟合参数; ε c 为发生动态再结晶所需的临界应变量, ε 0.5 是动态再结晶比率达到 50%的应变量,这两个应变量在处理时也通常认为方程(14)的形式。 d 0 为初始晶粒尺寸; ε为应变速率; ε为应变量; d DRX 为动态再结晶晶粒尺寸;指数 l、 m和 n是通过实验拟合获得的参数。JMAK模型对动态再结晶过程的模拟精度较高,其存在的主要问题在于其物理解释较为薄弱。

微观模型基于动态再结晶过程的物理意义进行建模,在模型方程的处理上一般将不连续动态再结晶过程分为加工硬化、回复、动态再结晶形核与长大几部分,再对每一部分提出对应的模型方程,整体求解得出晶粒组织的演化过程。不同微观模型应用的晶粒组织演化的建模方法较为接近,但其求解方法则存在较大差异。
目前针对锻造过程常用的数值模拟软件主要包含Deform、Abaqus、Marc、Ansys等[63-66],其中 Deform软件是专门针对锻造过程模拟设计的数值模拟软件,其四面体网格生成能力、网格重划分能力均强,尤其适用于对锻造这类大变形量的过程;应用于锻造模拟具有功能强大、便捷等优点;Abaqus、Marc、Ansys则是功能覆盖面广泛的有限元软件,作为通用软件其适用性较强,求解算法更为优秀,且在调整适当的情况下也能够实现锻造过程的模拟。根据实际情况,以上的4种模拟软件均能够适用于锻造过程的模拟,通过二次开发,输入材料相应的本构模型和晶粒组织演化模型,即可对径锻过程中的应力应变变化情况和晶粒组织变化情况进行模拟。
有限元法相较于传统的解析方法能够处理更为复杂的问题,并且能够提供更精确和详细的后处理结果。然而,由于径向锻造涉及大量计算,多道次全过程模拟的效率较低。此外,有限元模拟是一种正向分析方法,基于已知的工艺参数来评估性能指标,然而径向锻造工艺设计是一个逆向问题,需要在满足评估指标约束的前提下,从未知的参数空间中寻找最优解决方案。综上所述,有限元模型并不能直接应用于径向锻造工艺的设计,需要先利用有限元计算的结果,通过响应曲面方法、人工神经网络等[67-68]技术构建代理模型,进而将该代理模型作为优化算法的目标函数进行后续的工艺设计优化。
5、总结与展望
作为航空发动机中各类高温部件的关键材料,高温合金在国家发展中扮演着不可或缺的角色,属于极其重要的材料。然而,在实际生产中控制高温合金的微观组织非常困难。径向锻造作为一种高效先进的金属成型技术,以其高频脉冲锻打、多向模锻的特点,在改善材料微观组织、提高力学性能和材料利用率方面表现出色。本文结合国内外在径向锻造技术领域的发展动态,探讨了包括径向锻造设备、工艺、组织演变以及锻透性分析等在内的关键核心技术,并分析了径向锻造工艺与传统自由锻工艺相比,加工各类材料和产品的显著优势,并对径向锻造工艺的研究方法进行了简要的阐述。
1)技术进展与产业应用:径向锻造作为一种先进的金属成形技术,在改善高温合金的微观组织、力学性能和材料利用率方面展现出显著优势。尽管该技术在国内已有较大应用,但大部分径向锻造设备仍依赖进口,国内自主研发的力度仍需加强,以满足各领域日益增长的需求。
2)工艺优化面临的挑战:径向锻造过程涉及回复、加工硬化、再结晶和晶粒长大等复杂现象。现有的经验三角形法和解析法主要基于理想情况,未充分考虑实际工况及材料属性。尽管有限元分析能够提供较为精确的模拟,但仍需加强基于物理意义的模型研究,以更好地理解和控制材料在锻造过程中的组织与性能变化。
3)未来发展方向:为确保径向锻造技术的持续进步,学术界与工业界需密切合作。应重点加强理论研究,推动国内径向锻造设备的研发,并优化工艺参数,以提升高温合金的性能,支持我国制造业的升级。通过不断的技术创新与产业化推进,径向锻造技术将在高性能合金生产、降低生产成本、满足高端制造需求等方面发挥重要作用,助力我国制造业的转型升级和国际竞争力提升。
参考文献
[1]Yao Kaijun(姚凯俊),Yao Zhihao(姚志浩),Wang Qiang(王强)et al.Rare Metal Materials and Engineering(稀有金属材料与工程)[J],2022,51(11):4347
[2] Gao Wen(高雯), Li Lin(李麟).Heat Treatment(热处理)[J],2018,33(4):24
[3] Yu Teng(于腾), Wu Guilin(吴贵林), Kan Zhi(阚志) et al.Proceedings of the 13th China Superalloy Annual Conference(第十三届中国高温合金年会论文集)[C].Beijing:Metallurgical Industry Press, 2015: 12
[4] Dong Jian(董健),Liu Ning(刘宁),Zhu Baoming(朱宝明)et al.High Temperature Structural Materials for Power and Energy Applications-Proceedings of the 11th China Superalloy Annual Conference(动力与能源用高温结构材料-第十一届中国高温合金年会论文集)[C]. Beijing: Metallurgical Industry Press,2007:687
[5] Ma Pengju(马鹏举),Lan Xiaolong(兰小龙),Wang Wenjie(王文杰)et al. Forging& Stamping Technology(锻压技术)[J],2022,47(11):1
[6]Yang Zhen(杨震),Wang Bingzheng(王炳正),Song Daochun(宋道春) et al. China Metalforming Equipment& Manufacturing Technology(锻压装备与制造技术)[J],2018,53(6):27
[7] Huang Yulong(黄玉玲), Jiang Feng(姜峰). China Metalforming Equipment& Manufacturing Technology(锻压装备与制造技术)[J],2023,58(3):41
[8] Zou J F, Ma L F, Zhu Y C et al. Journal of Materials Science&Technology[J],2024,170:65
[9] Kumar A, Kulkarni R R, Ohdar R. Materials Today: Proceedings[J],2023,3:448
[10] Lahoti G D, Liuzzi L, Altan T. Journal of Mechanical Working Technology[J], 1977, 1(1):99
[11] Wei Xing(卫星).Shanghai Metals(上海金属)[J],2006(2):25
[12] Liu Fengjun(刘丰军),Chen Guosheng(陈国胜),Wang Qingzeng(王庆增)et al.Baosteel Technology(宝钢技术)[J],2011(4):27
[13] Zhang Hongkui(张洪奎),Chen Xinjian(陈新建),Wang Wenge(王文革)et al. Baosteel Technology(宝钢技术)[J],2005(5):15
[14] Zhang W C, Li Z X, Hu B et al. Materialia[J], 2024, 34: 102073
[15] Domblesky J P, Shivpuri R, Altan T. A Review of Radial Forging Technology Including Preform Design for Process Optimization[M]. Columbus: The Ohio State University,1994,770
[16] Yang Hua(杨华),Gao Junfeng(高俊峰),He Qigong(何琪功)et al. Forging& Stamping Technology(锻压技术)[J], 2021,46(6):16
[17] Han J C, Zhang X L, Cao S Z et al. Materials Science and Engineering A[J],2024,903:146648
[18] Su Zhenhua(苏振华),Zhang Yingjie(张营杰),Feng Dongxiao(冯东晓)et al.Heavy Machinery(重型机械)[J],2020(3):44
[19] Song Tao(宋涛),Zhao Shengdun(赵升吨),Liu Hongbao(刘洪宝).Heavy Machinery(重型机械)[J],2012(3):11
[20]Xu Haipeng(许海鹏),He Huan(何欢).China Concrete(混凝土世界)[J],2022(6):38
[21] Humphreys F J, Hatherly M. Recrystallization and Related Annealing Phenomena[M]. Amsterdam: Elsevier,2017
[22] Li Jun(李军),Zhao Yu(赵宇),Yu Xiaojun(喻晓军).The 13th China Academic Annual Proceedings of Electrical Steel(2015第十三届中国电工钢学术年会论文集)[C].Jinan:Electrical Steel Branch of the Chinese Society for Metals, 2015: 5
[23] Sakai T, Belyakov A, Kaibyshev R et al. Progress in Materials Science[J],2014,60:130
[24] Lin Y C, Chen X M. Materials& Design[J],2011,32(4):1733
[25] Tian Haotian(田昊天), Tian Xiao(田笑),Chen Fei(陈飞).Die and Mould Technology(模具技术)[J],2023(2):1
[26] Wang Chengyu(王成宇),An Teng(安腾),Xie Xingfei(谢兴飞)et al. Heat Treatment of Metals(金属热处理)[J],2024,49(4):88
[27] Huang K, Logé R E. Materials& Design[J], 2016, 111: 548
[28] Beck P A, Sperry P R. Journal of Applied Physics[J], 1950,21(2):150
[29] Mao Yizhe(毛轶哲), Li Jianguo(李建国), Li Cong(李聪) et al.Rare Metal Materials and Engineering(稀有金属材料与工程)[J],2019,48(9):2729
[30] Azarbarmas M, Aghaie-Khafri M, Cabrera J M et al. Materials Science and Engineering A[J], 2016, 678: 137
[31] Chen F, Tian X, Wu G S et al. International Journal of[J],2022,156:103372
[32] Zhang H B, Zhang K F, Jiang S S et al. Journal of Alloys and Compounds[J],2015,623:374
[33] Lin Y C, Wu X Y, Chen X M et al. Journal of Alloys and Compounds[J],2015,640:101
[34] Xie B C, Yu H, Sheng T et al. Journal of Alloys and Compounds[J],2019,803:16
[35] Li Mengfei(李梦飞),Zhang Liwen(张立文),Zhang Chi(张驰)et al. Transactions of Materials and Heat Treatment(材料热处理学报)[J],2016,37(10):192
[36]Lv Huyuan(吕胡缘),Hu Li(胡励),Shi Laixin(时来鑫)et al.Transactions of Materials and Heat Treatment(材料热处理学报)[J],2021,42(2):1
[37] Kang S L, Fisher J G. Open Ceramics[J], 2023, 16: 100484
[38] Jiang H, Wang Y F, Dong P et al. Journal of Materials Research and Technology[J],2024,30:5258
[39] Fan Jiaxin(范佳鑫), Zhu Yanchun(朱艳春). Hot Working Technology(热加工工艺)[J],2022,51(5):6
[40]Zhao Mingjie(赵明杰),Huang Liang(黄亮),Li Jianjun(李建军) et al. Forging& Stamping Technology(锻压技术)[J], 2020,45(9):1
[41]Xu Fang(徐方),Dong Xianghuai(董湘怀),Wang Xinbao(王新宝)et al. Forging& Stamping Technology(锻压技术)[J],2019,44(4):1
[42] Luan Qiancong(栾谦聪), Dong Xianghuai(董湘怀), Wu Yunjian(吴云剑).China Mechanical Engineering(中国机械工程)[J],2014,25(22):3098
[43] Lahoti G D, Altan T. Journal of Manufacturing Science and Engineering[J], 1976, 98(1): 265
[44] Afrasiab H, Hamzekolaei M G, Hassani A. Applied Mathematical Modelling[J],2022,102:811
[45] Yang S Y. Journal of Materials Processing Technology[J], 1991,28(3):307
[46] Wang Zhenfan(王振范),Hu Zongshi(胡宗式). Journal of Northeastern University(东北大学学报)[J],1994,15(1):35
[47] Lin Zhiping(林治平),Hua Jiang(花江),Wen Tao(文涛).Die and Mould Technology(模具技术)[J],1986(4):1
[48] Li Tianrui(李天瑞),Yang Yong(杨永),Shen Xiaohui(沈晓辉)et al.Rare Metal Materials and Engineering(稀有金属材料与工程)[J],2024,53(12):3503
[49]Zhang Bing(张兵),Yue Lei(岳磊),Chen Hanfeng(陈韩峰)et al. Rare Metal Materials and Engineering(稀有金属材料与工程)[J],2021,50(1):212
[50] Liu S, Feng J, Luo X et al. Rare Metal Materials and Engineering[J],2022,51(8):2850
[51] Johnson G R, Cook W H. Engineering Fracture Mechanics[J],1983,21:541
[52] Zener C, Hollomon J H. Journal of Applied Physics[J], 1944,15(1):22
[53]He Yong(何勇),Zhang Honggang(张红钢),Liu Xuefeng(刘雪峰)et al.Rare Metal Materials and Engineering(稀有金属材料与工程)[J],2008,37(1):19
[54] Lin Y C, Chen M S, Zhong J. Computational Materials Science[J],2008,42(3):470
[55] Lin Y C, Chen M S, Zhong J. Mechanics Research Communications[J],2008,35(3):142
[56] Zerilli F J. Metallurgical and Materials Transactions A[J], 2004,35(9):2547
[57] Preston D L, Tonks D L, Wallace D C. Journal of Applied Physics[J],2003,93(1):211
[58] Li Q, Jin Z Y. Rare Metal Materials and Engineering[J], 2021,50(11):3924
[59] Sellars C M, Whiteman C M. Metal Science[J], 1979, 13: 187
[60] Mecking H, Kocks U F. Acta Metallurgica[J], 1981,29(11):1865
[61] Hou W, Wang X M, Du P N et al. Journal of Nuclear Materials[J],2024,593:155001
[62] Kim S I, Yoo Y C. Materials Science and Engineering A[J],2001,311(1-2):108
[63] Kukuryk M. International Journal of Material Forming[J],2024,17(1):3
[64] Park J, Kim Y, Jeong H et al. Journal of Materials Research and Technology[J],2023,26:5576
[65] Youssef O, Boz C, Esat V. Machine Tools[M]. Boca Raton:Chemical Rubber Company Press,2023: 137
[66] Shen B T, Xu W B, Wang J et al. Soil Dynamics and Earthquake Engineering[J],2024,177:108410
[67] Guerra J, Velasquez L, Rubio-Clemente A et al. Results in Engineering[J],2024,22:102241
[68] Kurani A, Doshi P, Aarya V et al. Annals of Data Science[J],2023,10(1):183
(注,原文标题:高温合金径向锻造工艺的研究进展_李澍)
相关链接
- 2026-04-22 长期高温时效对标准热处理GH4169镍基高温合金δ相析出及综合力学性能的影响研究——以航空领域常用GH4169镍基高温合金为研究载体,采用真
- 2026-04-13 面向航空承力构件应用的Ti55531近β钛合金相变行为及热激活能研究——通过连续升温热膨胀试验与多手段表征,明确相变序列及升温速率对相变
- 2026-04-10 面向飞机液压管路系统的TA18钛合金管材热处理工艺优化——以冷轧钛管为对象,研究退火对组织回复、再结晶及径向织构的影响,为航空钛合金管
- 2026-03-28 面向航空发动机轻量化的SLM成形Ti150高温钛合金热处理工艺优化研究——聚焦600℃高温服役需求,优化固溶时效工艺参数,实现合金强塑性良好匹
- 2026-03-21 TC21钛合金应变率相关拉伸性能、断裂特征及变形机制综合研究——系统分析静动态加载下强度、塑性变化规律,结合断口形貌与微观组织演变,明
- 2026-03-01 面向核电燃料组件安全服役的锆合金焊接技术体系构建及关键工艺优化——基于焊接性分析、界面改性处理与异种材料扩散连接技术的系统研究
- 2026-01-26 舰船耐压部件用TA5钛合金中厚板制备工艺优化及性能保障研究——系统探究近相变点轧制温度变形量成品退火温度对板材微观组织、室温拉伸性
- 2026-01-03 全温度区间退火调控TA15钛合金组织-性能关联机制:断口从韧性韧窝转变为脆性解理特征,建立完整“退火工艺-相组成-力学性能”关系,填补β单相
- 2025-12-24 面向船舶海洋工程的Ti75钛合金热处理工艺优化研究——以模拟焊接热影响区片层组织为对象,系统分析时效过程中α/α'相演变规律,揭示弥散强
- 2025-12-22 面向航空航天高损伤容限构件的TC18钛合金β热处理冷速优化研究——系统分析5~0.05℃.s⁻¹冷速下组织演变,明确α集束形成与网篮结构构建

