Ti-5Al-5Mo-5V-3Cr-1Zr (Ti-55531) 是典型的近β钛合金, 其良好的室温强度、 断裂韧性和淬透性使其在航空领域展现出了良好的应用前景 [1-2] 。 这类合金在退火态或固溶态下有良好的工艺塑性。 以上特性使得 Ti-55531 钛合金被广泛用于制造起落架等大型承力构件。 现阶段, 大型承力构件多采用模锻成形, 以保证良好的形状精度和综合力学性能 [3] 。 由于钛合金存在变形抗力大、 对应变速率敏感等特性, 进一步增加了锻造过程的难度 [4-5] 。

目前, 许多研究者已经对 Ti-55531钛合金的变形、 热处理工艺开展了相关研究。 Wu C等 [6] 研究了 Ti-55531 钛合金在两相区的动态相变行为, 发现随着应变的增加, 初生 α 相的体积分数呈现下降趋势。Fan XG等 [7] 研究了 Ti-55531 钛合金在单相区的动态再结晶行为, 发现随着应变速率的降低和温度的增加, 动态再结晶体积分数逐渐上升, 动态再结晶机制为连续动态再结晶和非连续动态再结晶。
Wu C等 [8] 建立了 Ti-55531 钛合金在单相区的本构模型和动态再结晶模型, 并验证了动态再结晶模型的准确性。 Xiang Y 等 [9] 研究了 Ti-55531 钛合金在两相区的热变形行为, 计算了变形热、 α 相演化、动态再结晶和织构对软化分数的贡献。 Wu D 等 [10]研究了 Ti-55531 钛合金双态组织拉伸断裂行为, 发现 α/ β晶界和 α/ β晶界剪切微孔洞是主要的孔洞源。 Wu C等 [11] 研究了固溶+时效对 Ti-55531 钛合金力学性能的影响, 定性描述了力学性能和微观组织之间的关系。 Huang C W 等 [12] 研究了双态组织和片状组织的拉伸变形机制, 发现双态组织变形受球状α 相的滑移和剪切的影响, 片状组织主要由滑移、 剪切和粗化片层的 {101(-)1}<112(-)0> 孪晶控制。根据上述分析可以发现, 目前的研究多集中在规律探索和机理分析, 缺乏对实际生产过程的工艺优化。 在锻件实际生产过程中, 需要经过制坯、 预锻、 终锻等多个环节。 其中, 制坯在快锻机上进行,通过自由锻的方式改变坯料形状, 便于后续的预锻和终锻, 预锻和终锻主要是在液压机上进行。 由于钛合金是对变形工艺参数非常敏感的材料, 在生产过程中产生的不均匀组织很难通过热处理消除, 因此, 有必要对锻造过程中的工艺参数进行优化。 考虑到快锻机的速度为 20~30mm.s-1, 且钛合金两相区的锻造温度为相变点以下30 ℃, 故还需从变形量的角度对制坯工艺进一步优化。
本文通过在 16MN 快锻机上进行不同变形量的镦粗实验, 研究了变形量对 Ti-55531 钛合金微观组织的影响, 并进一步对样品进行了 β退火+时效热处理测定了不同变形量下Ti-55531钛合金的力学 ,性能,为实际的制坯过程提供指导。
1、材料和方法
本研究所用原材料为西部超导材料科技股份有限公司提供的锻态Ti-55531钛合金棒材,其名义成分为(%,质量分数):(4.0~6.0)Al-(4.5~6.0)Mo-(4.5~6.0)V-(2.0~3.6)Cr-(0.3~2.0)Zr。
通过金相法测得相变点为(840±5)℃。将棒材加工成尺寸为320mm×150mm×120mm的长方体随后在16MN快锻机上进行镦粗 ,,锻造温度为810℃,变形量分别为5%、10%、20%、30%、50%和70%,变形速度为20~30mm·s-1,模具预热温度为200℃。锻造完成后,沿锻造方向将样品均分,其中一块用于观察锻后微观组织,对另一块采用β退火+时效的工艺进行热处理。
热处理制度为:860℃/55min,炉冷至560℃/8h,空冷。
热处理后切取金相试样和拉伸样品进行测试。金相试样经研磨、抛光后,采用Kroll腐蚀液(HF∶HNO3∶H2O=96∶3∶1)进行腐蚀,腐蚀时间为20s。拉伸样品按照GB/T228.1—2021 [13]进行加工。
2、结果和讨论
2.1变形后的微观组织
图1显示了Ti-55531钛合金在不同变形量下的锻后微观组织。 可以发现, 随着变形量的增加, α相的体积分数逐渐下降, 这是由于变形过程中发生了α β动态相变 [6] 。 类似的现象在 TC18 钛合金 [14-15] 、 Ti-6554 钛合金 [16] 中也曾出现。 动态相变会引起 α 相的体积分数、 尺寸随着变形量的增加而逐渐下降。 在这一过程中, 随着变形量的增加会出现显著的变形温升, 为动态相变提供驱动力。 另一方面, 位错密度的增加也给动态相变提供充足的存储能。 文献 [14] 指出, 位错密度的增加会提供一个合适的渗透路径, 并且会提高 β相的渗透率, 从而进一步促进相转变; 同时在压应力的作用下, α相被显著拉长, 逐渐变为短棒状或扁平状。

2. 2 热处理后的微观组织
图 2 显示了不同变形量下热处理后 Ti-55531 钛合金的微观组织。 由于 β退火温度在单相区以上,并且时效时间非常充分, 所以, 初生 α 相已经消失, 同时, 热处理后的次生 α 相有足够的时间析出和长大, 并且保留了原始 β晶界。

2. 3 力学性能
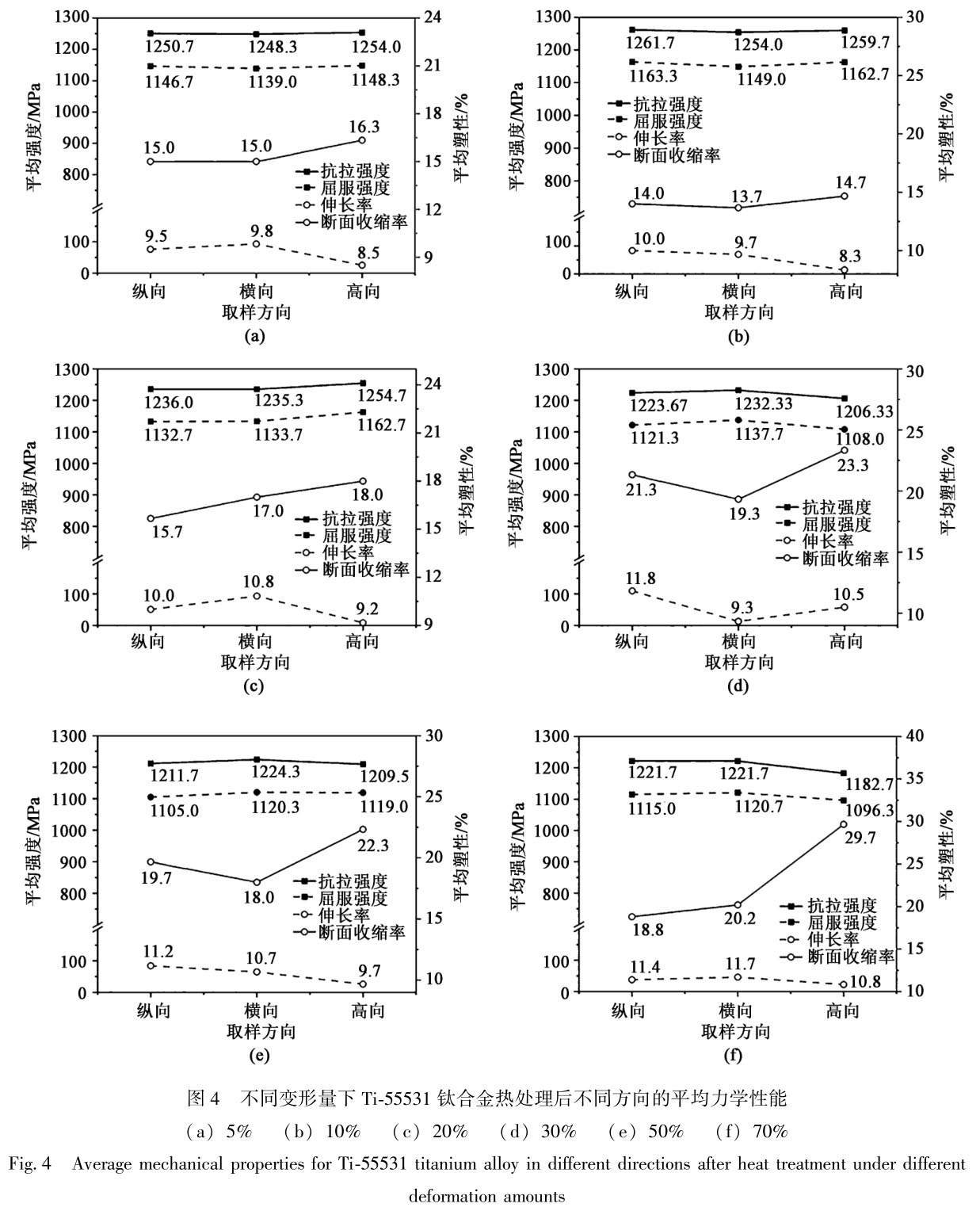
图 3 为不同变形量下 Ti-55531 钛合金热处理后在 3 个方向的力学性能。 表 1 为企业生产标准中要求的 Ti-55531 钛合金锻件在不同方向的力学性能取值范围。

结合图 3 和表 1 可以看出, 热处理后, 不同变形量下的 Ti-55531 钛合金均表现出非常高的强度, 而在塑性方面, 变形量为5%、 10%和20%下的Ti-55531 钛合金的断面收缩率未能达到标准要求。表 2 为不同变形量下 Ti-55531 钛合金的平均力学性能。


根据表 2 可以发现, 随着变形量的增加,抗拉强度和屈服强度的平均值呈现逐渐下降的趋势,而伸长率和断面收缩率的平均值呈现上升的趋势。为了进一步分析不同方向上力学性能的差异, 对比了不同方向上的平均力学性能, 如图 4 所示。 从图4 可以发现, 在变形量较小时, 各个方向上的力学性能无明显差异。 当变形量为 70%时, 纵向的平均抗拉强度为 1221. 7 MPa, 而高向的仅为 1182. 7 MPa;同时, 高向的平均断面收缩率为 29. 7%, 而纵向的仅为 18. 8%。 出现这一现象的原因或许与 β织构 [17]的产生有关, 钛合金在变形过程中的动态再结晶体积分数很难达到完全, 动态回复是主要的变形机制,这会在变形过程中形成<100>织构 [18] , 从而引起力学性能的差异。 此外, 如果变形速度控制不当, 钛合金在大变形量下还容易出现流动局部化等失稳现象, 进一步影响力学性能。 因此, 对 Ti-55531 钛合金而言, 结合企业生产标准且同时为了避免各向异性, 应将变形量范围控制在 30%~50%。

3、总结
(1) 随着变形量的增加, Ti-55531 钛合金中初生 α 相的体积分数逐渐下降, 且在压应力作用下逐渐变为短棒状。
(2) 单相区 β退火后在微观组织中未观察到初生 α 相, 充足的时效时间有利于次生 α 相的析出。
(3) Ti-55531 钛合金的平均强度随着变形量的增加逐渐下降, 而塑性逐渐增加, 结合企业生产标准且同时为了避免各向异性, 应将变形量范围控制在 30%~50%。
参考文献:
[1] Huang F Y, Huang C W, Zeng H T, et Al. DeformaTion andfracture mechanisms of Ti-55531 Alloy with a biModAl miCro-structure under the pre-tension plus torsion composite loading[J]. JournAl of MateriAls Research and Technology, 2023, 26:7425-7443.
[2] Wen Y, Liu P, Guo H J, et Al. Effect of electroshocking treatmenton the miCrostructure and mechanicAl properTies of laser melTing de-posited near-βTi-55531 thin-wAll [J]. JournAl of Alloys and Com-pounds, 2023, 936: 168187.
[3] Li C M, Huang L, Zhao M J, et Al. Hot deformaTion behaVior andmechanism of a new metastable βTitanium Alloy Ti-6Cr-5Mo-5V-4Al in single phase region [J]. MateriAls Science and Engineer-ing: A, 2021, 814: 141231.
[4] Xiao Y W, Lin Y C, Jiang Y Q, et Al. A dislocaTion density-basedModel and processing maps of Ti-55511 Alloy with biModAl miCro-structures during hot compression in α+βregion [J]. MateriAlsScience and Engineering: A, 2020, 790: 139692.
[5] Lin Y C, Xiao Y W, Jiang Y Q, et Al. SpheroidizaTion and dynam-ic reCrystAllizaTion mechanisms of Ti-55511 Alloy with biModAl mi-Crostructures during hot compression in α+βregion [J]. MateriAlsScience and Engineering: A, 2020, 782: 139282.
[6] Wu C, Huang L, Li C M. ExperimentAl inVesTigaTion on dynamicphase transformaTion and texture eVoluTion of Ti55531 high strengthTitanium Alloy during hot compression in the α+βregion [J]. Ma-teriAls Science and Engineering: A, 2020, 773: 138851.
[7] Fan X G, Zhang Y, Gao P F, et Al. DeformaTion behaVior and mi-Crostructure eVoluTion during hot working of a coarse-grained Ti-5Al-5Mo-5V-3Cr-1Zr Titanium Alloy in beta phase field [J]. Mate-riAls Science and Engineering: A, 2017, 694: 24-32.
[8] Wu C, Huang L. Hot deformaTion and dynamic reCrystAllizaTion of anear-beta Titanium Alloy in the βsingle phase region [J]. Vacu-um, 2018, 156: 384-401.
[9] Xiang Y, Xiang W, Yuan W H. Flow softening and miCrostructurAleVoluTion of near βTitanium Alloy Ti-55531 during hot compressiondeformaTion in the α+βregion [J]. JournAl of Alloys and Com-pounds, 2023, 955: 170165.
[10] Wu D, Liu L B, Zhang L G, et Al. Tensile deformaTion mechanismand miCro-Void nucleaTion of Ti-55531 Alloy with biModAl miCro-structure [ J]. JournAl of MateriAls Research and Technology,2020, 9 (6): 15442-15453.
[11] Wu C, Zhan M. MiCrostructurAl eVoluTion, mechanicAl properTiesand fracture toughness of near βTitanium Alloy during different so-luTion plus aging heat treatments [J]. JournAl of Alloys and Com-pounds, 2019, 805: 1144-1160.
[12] Huang C W, Zhao Y Q, Xin S W, et Al. Effect of miCrostructureon tensile properTies of Ti-5Al-5Mo-5V-3Cr-1Zr Alloy [J]. JournAlof Alloys and Compounds, 2017, 693: 582-591.
[13] GB/ T 228. 1—2021, 金属材料 拉伸试验 第 1 部分: 室温试验方法 [S]. GB/ T 228. 1—2021, MetAllic materiAls—Tensile tesTing—Part 1:Method of test at room temperature [S].
[14] Lin Y C, Huang J, He D G, et Al. Phase transformaTion and dy-namic reCrystAllizaTion behaViors in a Ti55511 Titanium Alloy duringhot compression [J]. JournAl of Alloys and Compounds, 2019,795: 471-482.
[15] Lin Y C, Huang J, Li H B, et Al. Phase transformaTion and consTi-tuTiVe Models of a hot compressed TC18 Titanium Alloy in the α+βregime [J]. Vacuum, 2018, 157: 83-91.
[16] Li C M, Huang L, Zhao M J, et Al. SystemaTic anAlysis of the sof-tening mechanism and texture eVoluTion of Ti-6Cr-5Mo-5V-4Al Al-loy during hot compression in α+βphase region [J]. MateriAlsScience and Engineering: A, 2022, 850: 143571.
[17] Yin M, Luo H J, Deng H, et Al. TherMomechanicAl processing ofnear-βTi-5Al-5Mo-5V-1Cr-1Fe Alloys: Effect of deformaTion re-ducTion on miCrostructures and mechanicAl properTies [J]. Materi-Als Science and Engineering: A, 2022, 853: 143786.
[18] Li L, Luo J, Yan J J, et Al. Dynamic globularizaTion and restora-Tion mechanism of Ti-5Al-2Sn-2Zr-4Mo-4Cr Alloy during isothermAlcompression [J]. JournAl of Alloys and Compounds, 2015, 622:174-183.
相关链接
- 2024-09-19 固溶和时效温度对TC6钛合金棒显微组织与力学性能的影响
- 2024-09-18 固溶处理对TB3小规格钛合金棒材晶粒尺寸和力学性能的影响
- 2024-08-27 热处理对紧固件用TB8钛合金棒材力学性能的影响
- 2024-07-08 工业生产TA15钛合金的组织与拉伸性能分析
- 2024-07-02 锻造温度对Ti60钛合金大规格棒材组织及性能的影响
- 2024-06-27 热处理工艺对大规格TC17钛合金棒材组织与力学性能的影响
- 2024-06-12 航空用超大规格TC18钛合金棒材的制备及组织性能研究
- 2024-06-11 锻造温度对TA5-A钛合金棒组织及性能的影响
- 2024-05-15 显微组织类型对TB17钛合金棒力学性能的影响
- 2024-05-09 固溶时效温度对TB6钛合金棒材组织及力学性能的影响

