1、引言
TC18钛合金,名义成分为Ti-5Al-5Mo-5V-1Cr-1Fe,是一种高强近β钛合金,具有高比强度和优异的抗冲击、抗疲劳性能,以及良好的淬透性和焊接性,在航空领域具有广阔的应用前景。目前,TC18钛合金已用于制备大型起落架和机体的关键承力构件,以取代300M等超高强度钢,在满足服役性能要求的同时起到显著的减重效果[2-3]。
TC18等近β钛合金在加工过程中,主要通过锻造和热处理工艺实现形性协同控制,满足构件的形状尺寸和组织性能要求。然而,实际锻造过程中,由于大尺寸锻坯的温度和变形分布不均匀,以及多火次锻造和热处理的交替作用,坯料内部极易出现细晶亮带和β织构等缺陷[4-6]。研究表明,上述缺陷直接影响钛合金的强度、塑性和断裂韧度等关键性能[7-9]。因此,有必要对细晶亮带等锻造缺陷的形成机理进行深入研究。王少阳等人[10]在TC4-DT钛合金锻件中发现异常的低倍亮斑组织,对该类缺陷的组织特征和力学性能进行了表征,确认缺陷处存在强取向性的大尺寸β晶粒,并探讨了工艺改进方案。Xu等人研究了TC32钛合金锻坯中的细晶亮带缺陷,研究发现该缺陷对应尺寸达到100mm的β立方晶粒 (<100>方向平行于锻造方向),且将亮带缺陷的形成归因于立方晶粒的异常长大。颜孟奇等人[4,7]对Ti55531合金自由锻件的亮带缺陷进行了系统研究,先后对其组织、取向特征和力学性能进行了表征,研究了细晶亮带缺陷对合金室温强度、塑性和冲击韧性的影响,并对亮带缺陷的成因进行了分析,认为<100>取向的大尺寸β晶粒是通过相近取向的晶粒发生亚晶界合并形成的,随着锻造火次的增多逐渐向表面长大。
综上所述,钛合金锻造过程中产生的细晶亮带缺陷,对服役性能存在重要影响。但是,目前关于亮带缺陷的研究较少,其形成机制尚不明确。本研究通过特定锻造工艺在TC18钛合金锻坯中引入细晶亮带缺陷,采用多种分析方法对其宏微观组织形貌、成分和取向特征等进行系统表征,结合Gleeble热压缩研究细晶亮带缺陷的形成机理,并探索减少和消除亮带缺陷的锻造方式。
2、实验
试验所用原材料为西部超导材料科技有限公司生产的TC18钛合金250mm棒材,金相法测得相变点为865~870℃。在815℃连续镦拔15火次,获得尺寸为200mmx200mmx360mm的方坯(1#锻坯),解剖发现坯料中心存在细晶亮带缺陷。然后,取料在815℃连续镦拔后,分别在900℃镦拔2火次和10火次,获得2#和3#锻坯。
采用蔡司光镜(OM)和Sigma500型场发射扫描电镜(SEM)表征TC18钛合金的显微组织形貌,并结合电子背散射衍射(EBSD)技术分析其相组成和晶体取向等信息。显微组织表征试样研磨后采用Kroll试剂腐蚀3~5s,EBSD试样使用二氧化硅悬浮液抛光,抛光时间约40min。
采用Gleeble热压缩试验并结合显微组织表征,研究TC18钛合金的形变织构特征,以及细晶亮带缺陷在不同加载方式下的演化过程。在2#锻坯细晶亮带区域分别沿正向(压缩方向平行于锻压方向)和斜45°方向取样,并与锻坯边缘等轴晶区域的正向压缩试样进行对比分析。Gleeble热压缩温度为900℃,50%变形量,应变速率分别为0.1和0.01s-1。
3、结果与分析
3.1显微组织形貌


对TC18钛合金锻坯边缘等轴晶和中心细晶亮带区域进行高倍SEM分析,其结果如图2所示。图2a对应1#锻坯边缘区域,呈现典型的双态组织,β基体中可以观察到大量细小的片状α相,同时均匀分布着一定量的α等轴晶粒。图2b为1#锻坯中心亮带缺陷处的显微组织,呈典型的网篮组织特征,细小的α片层均匀分布在整个区域中,且具有一定的择优取向。图2c和2d分别为2#锻坯边缘及中心亮带缺陷,呈现相同的网篮组织特征,并且亮带区域的网篮组织细小均匀,α相形貌相近且存在明显的择优取向,而边缘区域可以观察到β相晶界,沿晶界分布着粗大的α相和向晶内生长的α片层,呈一定的魏氏组织特征。此外,2#锻坯不同区域的能谱结果表明,边缘等轴晶和中心亮带缺陷没有明显的成分差异,如表1所示。
表1 TC18钛合金(2#锻坯)不同区域的化学成分
Table 1 Composition of TC18 alloy(2# forging stock) in different regions(wt%)
| Region | Ti | Mo | V | Al | Fe | Cr |
| Edge | 82.9 | 5.1 | 5.1 | 4.9 | 1.0 | 0.9 |
| Bright band | 82.7 | 5.3 | 5.2 | 4.8 | 1.0 | 0.9 |
1#锻坯的锻造温度为815℃,对应两相区锻造,理论上心部及边缘均应获得双态组织。然而,如图2所示1#锻坯细晶亮带区域和2#锻坯的心部及边缘区域都是网篮组织,是钛合金从β单相区冷却后的典型组织。这一结果表明,在锻造过程中1#锻坯中心区域可能达到甚至超过了β相变温度,存在显著的变形升温。
3.2晶体取向特征


3.3β晶粒尺寸
上述组织形貌及晶体取向结果表明,1#~3#锻坯细晶亮带区域的β相晶粒尺寸较大,且保持立方取向或存在<100>织构。由于SEM和EBSD分析区域尺寸较小,并且都没有观察到β晶界,因此无法确定细晶亮带区域的β晶粒尺寸。为此,在锻坯中心取大尺寸试样,并进行了系统分析。
首先,在1#~3#锻坯细晶亮带区域随机取样,试样截面尺寸约15mm10mm,900℃保温2 min后淬火以消除α相的影响,然后对试样边角和中心区域进行EBSD表征,位置如图5a所示。单个分析区域尺寸约3mm x2mm,步长为15μm。结果表明,在整个试样对应的厘米尺度内,锻坯细晶亮带区域的β相取向基本一致。图5b~5f为3#锻坯试样5个不同区域的{100}极图,可以看到试样不同区域的β相均为立方取向,每个分析区域内部和不同区域之间整体取向差均在2°~5°。

在上述实验的基础上,进一步增大试样尺寸至50mm 50mm。图6所示试样位于2#锻坯边部和中心细晶亮带的交界处,在900℃保温2min淬火后进行组织形貌分析。结合宏微观分析结果可以看出,锻坯边部的β晶粒呈等轴状,晶粒尺寸有一定差异,在0.2~1mm不等,而细晶亮带区域基体表现为1个完整晶粒,在OM和SEM下均未观察到晶界。亮带区域的β立方晶粒内部存在少量呈岛状分布的细小晶粒,晶粒尺寸与边部等轴晶区域相近。

结合不同锻坯的宏微观组织表征可以得出,TC18钛合金锻后整个细晶亮带区域应为单个 β立方晶粒,晶粒尺寸在100mm以上。
4、讨论
TC18钛合金锻坯中心的细晶亮带缺陷即β立方晶粒的形成和长大,取决于锻造过程中的变形条件和形变机制,并受锻造方式的影响。
4.1组织不均匀性
考虑到TC18钛合金锻坯亮带缺陷与边部区域的成分相同,而锻后显微组织和晶体取向存在明显差异,因此首先分析变形条件包括温度、应力应变等方面的内外差异,进而讨论其组织不均匀性。
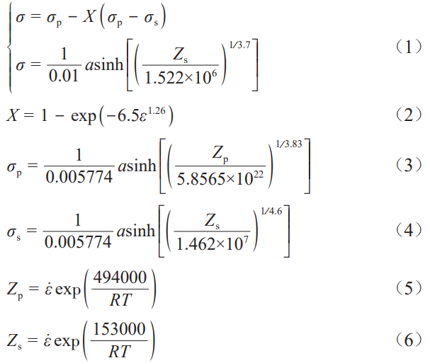
采用有限元法对TC18钛合金镦拔过程中温度和应变的分布及演化进行数值模拟,参考文献[14-15]中的性能数据建立简化的双曲正弦本构模型:

式中, σp和 σs分别为两相区的峰值应力和稳态应力, X对应软化率, Zp和 Zs 分别是基于峰值应力和稳态应力求得的Zener-Hollomon参数。模型中忽略了两相变形过程中的瞬态应变硬化和 β相变形式的不连续屈服阶段,以确保流变强度的连续性,并采用JMAK方程描述软化动力学。参考文献[16]可以发现,上述本构模型预测的流变曲线与实验数据拟合较好。

上述模拟结果表明,TC18钛合金锻造过程中心部和边部区域的变形条件存在较大差异,心部塑性变形量和温度均显著高于边部区域。尤其值得注意的是,锻坯心部区域在连续镦拔后,温度可能升高至β相变温度以上,而边部仍处于两相区温度范围,这可能是细晶亮带缺陷形成的重要原因。此外,研究表明钛合金在热压缩变形时,由于应变能和溶质元素分布的影响,会导致合金β相变温度降低[17],进一步加剧锻坯内外的组织差异。因此,TC18钛合金锻坯变形条件尤其是温度分布不均造成的组织不均匀性,是细晶亮带缺陷形成的重要原因。
4.2β立方晶粒的形成
TC18钛合金细晶亮带缺陷为尺寸在100mm以上的β立方晶粒,与普通的晶粒异常长大现象相比[18],具有一定的特殊性。首先,亮带缺陷的β晶粒具有特定取向,<100>方向平行于锻造方向。其次,β立方晶粒尺寸远大于普通的异常长大晶粒。因此,研究TC18钛合金细晶亮带缺陷的形成,需要综合考虑取向演化和晶粒长大。
如前文所述,钛合金中β相在热压缩过程中主要产生<100>和<111>2种丝织构,并且<100>织构随着温度升高、应变速率降低和应变量的增加逐渐增强。图8为TC18钛合金在900℃不同应变速率下热压缩后β相的IPF云图,图中竖直方向对应压缩方向。图8a和8b中β相的主要织构组分均为<100>和<111>织构,且随着应变速率降低,<100>织构明显增强。当应变速率为0.1s时,<100>和<111>取向的β晶粒明显沿水平方向拉长,且内部亚结构(主要是小角晶界,2°~10°)较少,只在晶界边缘尤其是2种不同取向β晶粒的交界区,存在大量小角晶界和局域应变。此时,β相的变形机制以动态回复为主,晶粒在伸长的同时形成取向织构。随着应变速率降至0.01s-1,晶粒内部小角晶界的分布更加均匀,并且不同取向β晶粒交界处出现一定数量的再结晶晶粒,晶粒尺寸为20~50μm,取向以<100>为主。再结晶晶粒的晶界与小角晶界网络重叠,并且存在大量不连续大角晶界,如图中箭头所示,对应连续动态再结晶。考虑到锻坯为长方体,且镦拔过程中反复沿3个正交方向进行压缩变形,锻坯心部<100>取向的β晶粒体积分数会不断增大,并最终合并形成大尺寸的立方晶粒。

TC18钛合金锻坯热处理后的亚结构如图9所示,试样位于锻坯边缘与亮带缺陷交界处,热处理方式为900℃/2 min/炉冷至850℃/90 min/空冷。图9a为OM拼图,图中左侧对应锻坯边部β等轴区域,右侧为细晶亮带区域。从图中可以看出,亮带缺陷即β立方晶粒经退火处理后出现大量亚结构,表现为密集分布的黑色迹线,在远离交界处的区域呈条带状,形貌类似柱状晶,整体轨迹对应锻坯的流变曲线,如图中红色虚线所示。结合图9b~9c所示的β晶粒取向和局域取向差(KAM)分布结果,可以确定β晶粒内的亚结构为亚晶界,且晶界取向差在0.5°左右。如图9所示β等轴晶区的晶界较为平直,且交界处的β晶界均向亮带区域凸起,表明热处理过程中β等轴晶有一定程度的长大,并且晶界向右侧亮带区域迁移。另外,β等轴晶内部同样存在一定量的亚晶界,如图9a中红色虚线框标注区域,但亚晶界的数量较少,且主要分布在晶粒中心区域。

一般认为,相比大角晶界,亚晶界的迁移更加困难[19],因此内部含有大量亚晶界的β立方晶粒在退火过程中难以长大。此时,β等轴晶区随机取向的晶粒发生长大,晶界向四周和β立方晶粒内部迁移,在此过程中等轴晶内部大量亚晶界消失,只在晶粒中心存在少量残留。这一亚晶界驱动晶粒长大的机制在Cu-Al-Mn等合金循环热处理中存在[20],可以解释TC18钛合金退火后的晶粒形貌和亚结构分布特征,以及1#~3#锻坯随着900℃多火次锻造β立方晶粒尺寸的减小。但是,上述理论无法解释大尺寸β立方晶粒最初的形成过程。因此,β立方晶粒的形成只能归因于3个正交方向反复的压缩变形,导致锻坯心部<100>织构不断强化,最终相近取向的<100>晶粒合并成1个大尺寸的β立方晶粒。立方晶粒内部存在大量变形亚结构,在退火过程中形成亚晶界。
4.3锻造方式的影响
为了验证锻造方式对细晶亮带缺陷的影响,对比分析了正向和斜45°方向压缩条件下β立方晶粒的组织演化,其结果如图10所示。可以看到,正向压缩50%后,试样中心β立方晶粒的OM形貌没有明显变形特征,且晶体取向完全没有变化。产生这一现象的原因在于bcc单晶变形通过“铅笔式滑移”进行[21],在此过程中滑移系相对<100>对称,旋转分量相互抵消,立方晶粒并不发生转动。斜45°方向压缩时,在试样中心截面可以观察到明显的斜向剪切带,整体呈菱形,如图10b所示。对菱形右侧一角进行EBSD表征,结果见图10d,可以发现剪切带区域存在明显的局域应变,两侧有明显的晶体取向差异,存在一定量的小角晶界和不连续的大角晶界。

上述结果表明,由于bcc结构特殊的变形方式和较小的泰勒因子,在正向压缩变形过程中,β立方晶粒可以保持取向不变。只有通过斜向的压缩变形,才能够在β立方晶粒内部产生剪切变形带,并在后续退火时通过再结晶消除细晶亮带缺陷。因此,尽管2#和3#锻坯在900℃进行了多个火次的镦拔,但由于锻造方式仍然沿正交方向,细晶亮带缺陷并没有明显改善。
5、结论
1)TC18钛合金锻后心部的细晶亮带缺陷为网篮组织,对应单个β晶粒,晶粒的<100>方向平行于锻造方向,晶粒尺寸约100mm。
2)TC18钛合金锻造过程中,存在显著的变形升温,锻坯心部的应变量和温度明显高于边部区域,是造成心部亮带缺陷的重要原因。
3)细晶亮带缺陷处的大尺寸β立方晶粒,是由于沿正交方向反复压缩变形,导致锻坯心部<100>织构不断强化,相近取向的<100>晶粒合并形成的。
4)由于亚晶界相比大角晶界更难迁移,在退火过程中β晶界向含大量亚晶界的立方晶粒内部移动,因此可以通过退火处理减小细晶亮带缺陷尺寸。
5)β立方晶粒在正向压缩时可以保持取向不变,为了减少甚至消除细晶亮带缺陷,锻造过程中需要采用对角拔长或倒八方等工序,避免沿正交方向反复变形。
参考文献References
[1]Huang Xu(黄旭),Zhu Zhishou(朱知寿),Wang Honghong(王红红). Advanced Aeronautical Titanium Alloys and Applications(先进航空钛合金材料与应用)[M].Beijing:National Defense Industry Press,2012
[2] Li Yi(李毅),Zhao Yongqing(赵永庆),Zeng Weidong(曾卫东).Materials Review(材料导报)[J],2020,34(S1):280
[3] Sun Yankun(孙艳坤),Zhang Wei(张威). Hot Working Technology(热加工工艺)[J],2018,47(20):22
[4] Yan Mengqi(颜孟奇),Zhang Yeqin(张业勤),Li Kai(李凯)et al.Chinese Journal of Rare Metals(稀有金属)[J],2016,40(6):534
[5] Chen W, Zeng W D, Zhao Y Q et al. Materials Science and Engineering A[J],2021,807:140825
[6] Gu Bin(谷宾), Xiong Zhihao(熊智豪),Yang Ping(杨平)et al.Rare Metal Materials and Engineering(稀有金属材料与工程)[J],2024,53(9):2420
[7]Yan Mengqi(颜孟奇), Wu Zehao(吴泽浩), Tong Jianbo(佟健博)et al. Acta Metallurgica Sinica(金属学报)[J],2025,61(10):1555
[8] Xu Hao(徐浩),Sun Qianjiang(孙前江),Wen Chao(文超)et al.Rare Metal Materials and Engineering(稀有金属材料与工程)[J],2024,53(1):178
[9] Yang J, Huang S, Wang Q et al. Journal of Materials Research and Technology[J], 2023, 27: 5840
[10] Wang Shaoyang(王少阳), Wang Wensheng(王文盛), Wu Qunlan(伍群兰)et al.Hot Working Technology(热加工工艺)[J],2019,48(13):177
[11] Xu J W, Ji X, Zeng W D et al. Materials Letters[J], 2024, 369:136746
[12] Li Zhishang, Xiong Zhihao, Yang Ping et al. Rare Metal Materials and Engineering[J],2022,51(7):2446
[13] Gupta A, Khatirkar R, Singh J. Journal of Alloys and Compounds[J],2022,899:163242
[14] Wang Q, Sha A, Li X et al. Materials Science Forum[J], 2013,747:878
[15] Lin Y C, Pang G D, Jiang Y Q et al. Vacuum[J], 2019, 169:108878
[16] Liu X H, Wang T, Ren X L et al. Metals[J], 2024, 14(7): 792
[17] Liu Xianghong(刘向宏),Zhao Ning(赵宁),Wang Tao(王涛)et al.Rare Metal Materials and Engineering(稀有金属材料与工程)[J],2024,53(11):3101
[18] Najafkhani F, Kheiri S, Pourbahari B et al. Archives of Civil and Mechanical Engineering[J],2021,21:1
[19] Huang S, Ma Y, Zhang S et al. Metallurgical and Materials Transactions A[J],2018,49:6390
[20] Kusama T, Omori T, SaitoT et al. Nature Communications[J],2017,8(1):354
[21] Courtney T H. Mechanical Behavior of Materials[M]. Long Grove: Waveland Press,2005
(注,原文标题:TC18钛合金锻造过程细晶亮带缺陷的形成机制_刘向宏)
无相关信息
