高温钛合金具有高热强性、耐腐蚀性、抗氧化性及良好塑性等特点,广泛应用于航空航天、汽车制造等高端领域 [1-4]。Ti175 合金是国内新研制的 α+β 型高温钛合金,目前处于科研试制阶段,其主要合金元素包括 Al、Mo、Zr、Sn、W,关键杂质元素为 Si、Fe、Ni、Re。其中,β 稳定元素 Mo、Zr、W 及 Si 可提升合金高温蠕变性能,Re 直接影响材料强度与耐热性 [5],因此准确测定 Ti175 合金中这 9 种元素的含量,对推动该新型钛合金牌号的研发与工程化应用具有决定性作用。
ICP-AES 法因具有多元素同时测定、灵敏度高、分析速度快等优势,是金属材料化学成分检测的重要手段 [6-9]。现有标准 YS/T 1262-2018 [10] 虽可同时测定多种元素,但无法满足 Ti175 高温钛合金中 9 种元素(尤其是低含量杂质元素 Re、Ni)的同步准确测定需求。为此,本研究针对 ICP-AES 法测定 Ti175 合金中 Al、Mo、Zr、Sn、W、Si、Fe、Ni、Re 展开系统探究,优化激发功率、雾化气流量等关键仪器参数,考察分析谱线干扰规律,通过基体 - 合金双匹配消除干扰,最终建立精准、可靠的分析方法,并通过精密度与加标回收实验验证方法有效性。
1、实验部分
1.1 主要仪器
iCAP PRO XP 型电感耦合等离子体原子发射光谱仪(赛默飞世尔科技有限公司);
Milli-Q 型超纯水机(美国 Millipore 公司)。
1.2 试剂与材料
HCl、HF、HNO₃:分析纯,洛阳昊华化学试剂有限公司;
纯钛(w (Ti)≥99.998%):北京纳克分析仪器有限公司;
Al、Mo、Zr、Sn、W、Si、Fe、Ni、Re 标准贮存溶液(1.00 mg・mL⁻¹):北京纳克分析仪器有限公司,根据实验需求稀释使用;
实验用水:二级水(符合 GB/T 6682-2008 要求)。
1.3 仪器工作条件
结合仪器说明书推荐参数与实验优化结果,确定最佳工作参数如表 1 所示,确保仪器处于最优检测状态。
表 1 最佳工作参数
Tab.1 Optimum operating parameters
| 工作参数 | 设定值 | 工作参数 | 设定值 |
| 激发功率 /W | 1150 | 蠕动泵速 /(r・min⁻¹) | 45 |
| 雾化气流量 /(L・min⁻¹) | 0.65 | 观测高度 /mm | 10 |
| 等离子气流量 /(L・min⁻¹) | 12.5 | 积分次数 / 次 | 10 |
| 辅助气流量 /(L・min⁻¹) | 0.5 | - | - |
1.4 样品溶液的制备
称取 0.10g(精确至 0.0001g)Ti175 合金样品,置于 250mL 聚四氟乙烯烧杯中,依次加入 10mL HCl(1:1,体积比)、2mL HF,常温下搅拌溶解;待样品完全溶解后,滴加 1mL HNO₃氧化残余杂质,冷却后转移至 100mL 塑料容量瓶中,用二级水稀释至刻度,摇匀待测。
1.5 标准溶液配制
1.5.1 合金元素工作曲线配制
称取 6 份 0.08g 纯钛基体,分别置于 250mL 聚四氟乙烯烧杯中,按 1.4 节方法溶解处理后,转移至 100mL 塑料容量瓶中;按表 2 所示浓度梯度加入 Al、Mo、Zr、Sn、W 标准溶液,用二级水稀释至刻度,摇匀,得到合金元素标准系列溶液。
表 2 合金元素工作曲线中各元素浓度(%)
Tab.2 Contents of the elements in the calculation curve for alloy element determination (%)
| 溶液编号 | Al | Mo | Zr | Sn | W |
| 1 | 0 | 0 | 0 | 0 | 0 |
| 2 | 1.00 | 5.00 | 4.50 | 0.50 | 1.00 |
| 3 | 2.00 | 4.00 | 3.50 | 3.00 | 0.10 |
| 4 | 4.00 | 3.00 | 2.50 | 1.50 | 1.50 |
| 5 | 6.00 | 2.00 | 1.50 | 2.00 | 0.50 |
| 6 | 8.00 | 1.00 | 1.00 | 1.00 | 2.00 |
1.5.2 杂质元素工作曲线配制
称取 6 份 0.08g 纯钛基体,分别置于 250mL 聚四氟乙烯烧杯中,按 1.4 节方法溶解处理后,转移至 100mL 塑料容量瓶中;先加入与 Ti175 合金实际成分匹配的 Al(6.5%)、Sn(2%)、Zr(3.5%)、Mo(4.0%)、W(1.2%)合金元素标准溶液,再按表 3 所示浓度梯度加入 Si、Fe、Ni、Re 杂质元素标准溶液,用二级水稀释至刻度,摇匀,得到杂质元素标准系列溶液。
表 3 杂质元素工作曲线中各元素浓度(%)
Tab.3 Contents of the elements in the calculation curve for impurity element determination (%)
| 溶液编号 | Fe | Ni | Re | Si |
| 1 | 0 | 0 | 0 | 0 |
| 2 | 0.002 | 0.001 | 0.001 | 0.050 |
| 3 | 0.005 | 0.002 | 0.002 | 0.100 |
| 4 | 0.008 | 0.005 | 0.003 | 0.150 |
| 5 | 0.010 | 0.008 | 0.005 | 0.200 |
| 6 | 0.020 | 0.010 | 0.008 | 0.300 |
2、结果与讨论
2.1 分析谱线选择
根据 Ti175 合金中各元素含量(合金元素高含量、杂质元素低含量),配制基体溶液与单一元素标准溶液,通过光谱仪考察各元素谱线受钛基体及共存元素的干扰情况。遵循 “灵敏度适中、干扰程度小、信噪比高” 原则,筛选分析谱线,结果如表 4 所示。
表 4 钛合金中各元素波长干扰情况
Tab.4 Spectral line interference of the elements in titanium alloy
| 元素 | 波长 /nm | 干扰元素 | 波长 /nm | 干扰元素 | 波长 /nm | 干扰元素 |
| Al | 396.153 | Mo | 308.215 | Zr | 394.401 | / |
| Fe | 238.204 | / | 239.562 | / | 259.939 | / |
| Mo | 202.031 | / | 202.095 | / | 204.598 | / |
| Ni | 231.604 | / | 221.648 | Zr | 232.003 | Cr、Zr |
| Re | 197.248 | W | 221.427 | Mo | 227.525 | / |
| Si | 251.611 | / | 212.412 | Zr | 288.158 | Zr |
| Sn | 189.927 | / | 283.998 | Cr | 242.170 | Zr |
| W | 207.912 | / | 224.876 | / | 239.708 | Zr |
| Zr | 257.243 | W | 339.198 | / | 343.823 | / |
由表 4 可知,多数元素谱线受钛基体或共存元素干扰(如 Al 396.153nm 受 Mo 干扰、Ni 221.648nm 受 Zr 干扰)。通过调整谱线积分区域、背景点位置,并结合基体 - 合金匹配,最终确定各元素最佳分析谱线如表 5 所示,可有效消除干扰。
表 5 各元素最佳分析谱线
Tab.5 Best analytical spectral lines for each element
| 元素 | 分析谱线 /nm | 元素 | 分析谱线 /nm |
| Al | 394.401 | Si | 251.611 |
| Mo | 202.032 | Ni | 231.604 |
| Zr | 343.823 | Re | 227.525 |
| Sn | 189.925 | Fe | 238.204 |
| W | 207.912 | / | / |
2.2 仪器分析参数优化
ICP-AES 的检测性能与激发功率、雾化气流量密切相关,直接影响分析物的挥发、原子化及激发 - 电离效率。本研究以杂质元素 Si、Fe、Ni、Re(含量低、对参数更敏感)为对象,优化关键仪器参数。
2.2.1 激发功率优化
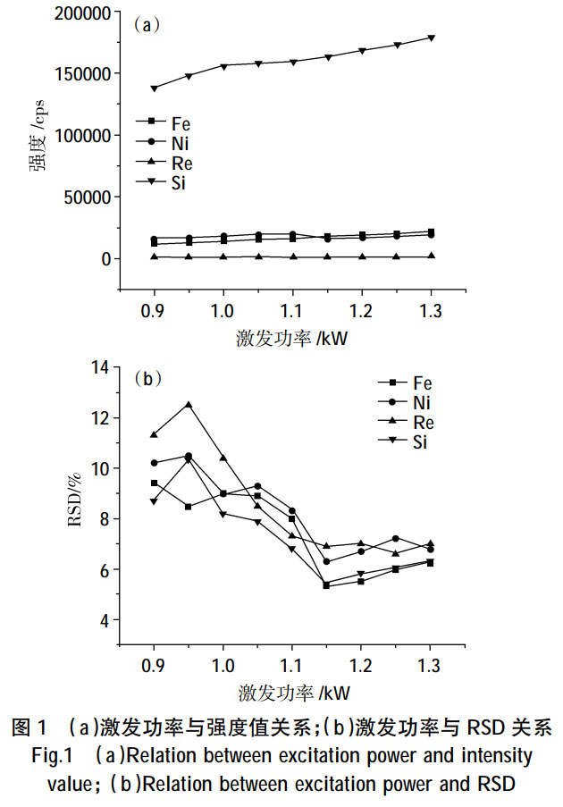
设定积分次数为 2 次,激发功率在 900~1300W 范围内以 50W 递增,考察功率对元素发射强度及测定精密度(RSD)的影响,结果如图 1 所示。

由图 1 (a) 可知,随激发功率增大,元素发射强度逐渐升高(功率越高,等离子体能量越强,原子化效率越高);由图 1 (b) 可知,功率为 1150W 和 1200W 时,RSD 处于较低水平,但 1150W 时 RSD 略低(Fe、Re 的 RSD 分别降低 0.3%、0.5%),综合能耗与检测稳定性,选择激发功率为 1150W。
2.2.2 雾化气流量优化
设定激发功率为 1150W、积分次数为 2 次,雾化气流量在 0.50~0.75 L・min⁻¹ 范围内调整,考察其对元素强度及 RSD 的影响,结果如图 2 所示。

由图 2 (a) 可知,雾化气流量低于 0.65 L・min⁻¹ 时,元素强度随流量增大而升高(雾化效率提升);超过 0.65 L・min⁻¹ 后,强度下降(过量气体稀释等离子体,降低激发效率);由图 2 (b) 可知,流量为 0.65 L・min⁻¹ 时,各元素 RSD 最低(Si、Ni 的 RSD 分别为 1.2%、2.1%),故选择雾化气流量为 0.65 L・min⁻¹。
2.3 基体和合金成分对测定结果的影响
2.3.1 基体效应与干扰实验
称取 0、0.10、0.50、1.00g 纯钛基体,按 1.4 节方法溶解后,分别加入 100μg Al、Mo、Zr、Sn、W、Si、Fe、Ni、Re 标准溶液,稀释至 100mL,测定各元素净发射强度,结果如表 6 所示。
表 6 不同基体量下各元素的强度值(cps)
Tab.6 Intensity values of each element under different matrix quantities (cps)
| 元素 | 无基体 | 0.10g 基体 | 0.50g 基体 | 1.00g 基体 |
| Al | 329451.2 | 32158.1 | 31304.7 | 30456.3 |
| Fe | 35338.2 | 33591.2 | 31330.8 | 29551.0 |
| Mo | 16987.4 | 16510.2 | 16063.8 | 15894.1 |
| Ni | 13634.4 | 13448.0 | 13137.0 | 12856.0 |
| Re | 1256.4 | 1187.4 | 1154.2 | 1123.7 |
| Si | 12314.8 | 12056.1 | 11896.8 | 11621.3 |
| Sn | 446.9 | 401.8 | 377.7 | 284.5 |
| W | 5012.3 | 4786.4 | 4633.8 | 4546.3 |
| Zr | 82569.4 | 81876.5 | 80950.6 | 79456.2 |
由表 6 可知,随钛基体含量增加,各元素强度值显著降低(如 Al 无基体时强度 329451.2 cps,1.00g 基体时降至 30456.3 cps),表明钛基体对测定存在明显抑制效应,必须通过基体匹配消除干扰。
2.3.2 合金效应与干扰实验
参照 Ti175 合金实际成分,用纯钛基体与合金元素标准溶液模拟合成样品,加入 2 倍于杂质元素测定下限的标准溶液,分别采用 “仅基体匹配” 和 “基体 + 合金匹配” 工作曲线测定,计算回收率,结果如表 7 所示。
表 7 合成样品 Ti175 中杂质元素测定结果及回收率
Tab.7 Determination results and recovery rate of impurity elements in synthetic sample Ti175
| 元素 | 加入量 /μg | 对应质量分数 /% | 仅基体匹配 | 基体 + 合金匹配 | ||
| 测得值 /% | 回收率 /% | 测得值 /% | 回收率 /% | |||
| Si | 10.0 | 0.010 | 0.00910 | 91.0 | 0.00980 | 98.0 |
| Fe | 10.0 | 0.010 | 0.00675 | 67.5 | 0.01122 | 112.2 |
| Ni | 2.0 | 0.002 | 0.00200 | 100.2 | 0.00206 | 102.9 |
| Re | 2.0 | 0.002 | 0.00140 | 70.0 | 0.00214 | 107.0 |
由表 7 可知,仅基体匹配时,Fe、Re 回收率偏离 90%~105%(Fe 67.5%、Re 70.0%);而基体 + 合金匹配时,所有杂质元素回收率均在 98%~113% 范围内,表明合金成分对低含量杂质元素测定存在干扰,需通过双匹配消除。
2.4 工作曲线、相关系数及检出限
在优化条件下测定标准系列溶液,建立工作曲线;对空白溶液连续测定 11 次,计算标准偏差(SD),以 3 倍 SD 为检出限,结果如表 8 所示。
表 8 工作曲线的测定范围、线性方程、相关系数及检出限
Tab.8 Measurement range, linear equation, correlation coefficient and detection limit of working curve
| 元素 | 测定范围 /% | 线性方程 | 相关系数 r | 检出限 /% |
| Al | 1.00~8.00 | y=4490.319x+65.370 | 0.9998 | 0.0005 |
| Mo | 1.00~5.00 | y=1436.361x+3.270 | 0.9997 | 0.0031 |
| Zr | 1.00~4.50 | y=8449.289x+154.218 | 0.9998 | 0.0022 |
| Sn | 0.50~3.00 | y=364.026x-11.343 | 0.9992 | 0.0098 |
| W | 0.10~2.00 | y=498.847x-1.782 | 0.9999 | 0.0023 |
| Si | 0.05~0.30 | y=745.831x+365.833 | 0.9999 | 0.0030 |
| Fe | 0.002~0.020 | y=4025.974x+63.892 | 0.9998 | 0.0011 |
| Ni | 0.001~0.010 | y=1398.571x+6.325 | 0.9997 | 0.0006 |
| Re | 0.001~0.008 | y=24563.098x+5.307 | 0.9998 | 0.0010 |
由表 8 可知,各元素线性相关系数 r≥0.9992,检出限为 0.0005%~0.0098%(Al 检出限最低,Sn 检出限最高),满足 Ti175 合金中高含量合金元素与低含量杂质元素的测定需求。
2.5 精密度实验及加标回收实验
称取 Ti175 合金样品平行测定 7 次,进行精密度实验;同时加入一定量标准溶液进行加标回收实验,结果如表 9 所示。
表 9 精密度实验和加标回收实验结果(n=7)
Tab.9 Results of precision test and spiked recovery test (n=7)
| 元素 | 认定值 /% | 加标量 /% | 测定值 /%(n=7) | 平均值 /% | 回收率 /% | RSD /% |
| Al | 6.636 | 1.00 | 7.636,7.647,7.629,7.637,7.642,7.625,7.641 | 7.637 | 100.1 | 0.10 |
| Mo | 4.034 | 1.00 | 5.034,5.032,5.043,5.033,5.044,5.025,5.027 | 5.031 | 99.9 | 0.16 |
| Zr | 3.551 | 0.50 | 4.037,4.044,4.035,4.042,4.050,4.042,4.039 | 4.042 | 98.2 | 0.13 |
| Sn | 2.006 | 0.50 | 2.511,2.503,2.497,2.506,2.511,2.508,2.515 | 2.505 | 100.0 | 0.30 |
| W | 1.197 | 0.50 | 1.712,1.697,1.708,1.705,1.714,1.693,1.703 | 1.705 | 102.0 | 0.45 |
| Si | 0.217 | 0.10 | 0.313,0.317,0.321,0.314,0.308,0.306,0.312 | 0.313 | 97.0 | 1.78 |
| Fe | 0.0114 | 0.01 | 0.0215,0.0220,0.0205,0.0213,0.0218,0.0215,0.0207 | 0.0211 | 99.0 | 2.63 |
| Ni | 0.00129 | 0.01 | 0.0118,0.0111,0.0121,0.0113,0.0109,0.0106,0.0116 | 0.0113 | 100.1 | 4.69 |
| Re | / | 0.005 | 0.0048,0.0054,0.0046,0.0049,0.0049,0.0053,0.0044 | 0.0049 | 98.0 | 6.94 |
由表 9 可知,各元素加标回收率为 97.0%~102.0%,RSD≤6.94%(Re 的 RSD 最高,因含量极低),表明方法精密度良好、准确度高,可用于 Ti175 合金的实际检测。
3、结论
建立了 HCl-HF-HNO₃混合酸溶解试样、ICP-AES 法测定 Ti175 高温钛合金中 Al、Mo、Zr、Sn、W、Si、Fe、Ni、Re 9 种元素的分析方法,通过筛选最佳分析谱线(如 Al 394.401nm、Re 227.525nm),优化仪器参数(激发功率 1150W、雾化气流量 0.65 L・min⁻¹),有效提升检测灵敏度与稳定性。
钛基体与合金成分对测定存在显著干扰,采用 “基体 + 合金双匹配” 可彻底消除干扰,确保低含量杂质元素(如 Re、Ni)的准确测定。
方法线性关系良好(r≥0.999),检出限低(0.0005%~0.0098%),精密度优异(RSD≤6.94%),加标回收率可靠(97.0%~102.0%),完全满足 Ti175 高温钛合金中 9 种元素的精准测定需求,为该新型合金的研发与质量控制提供技术支撑。
参考文献
[1] 文豪,冯军宁。国内高温钛合金板材研究现状 [J]. 世界有色金属,2023,(9): 130-133.
[2] 王冰,相志磊,周宗熠,等。耐 600℃及以上高温钛合金研究进展 [J]. 钢铁钒钛,2024, 44 (2): 42-50.
[3] 朱培亮,辛社伟,毛小南,等。高温钛合金的热稳定性研究进展 [J]. 钛工业进展,2023, 40 (1): 42-48.
[4] 王凯婷。高温钛合金的发展与应用 [J]. 世界有色金属,2021, (14): 21-22.
[5] 严鹏飞,臧旭,宋体杰,等。电感耦合等离子体原子发射光谱法测定 Ti65 高温合金中 16 种元素 [J]. 分析测试学报,2024, 43 (9): 1348-1355.
[6] 罗策,李剑,黄永红,等. ICP-OES 法测定 Ti80 钛合金中铝铌锆钼铁硅 [J]. 化学工程师,2015, 29 (10): 21-23.
[7] 杜永勤,王建平,王书华,等。新型 Ti-6Al-3Nb-2Zr-1Mo (Ti80) 合金焊接工艺研究 [J]. 石油化工设备,2015, 44 (2): 67-73.
[8] 孙肖媛,张卫强,曾海梅,等。电感耦合等离子体原子发射光谱法测定 Ti-Al-Mo 系钛合金中的铝和钼 [J]. 理化检测 (化学分册), 2018, 54 (12): 1456-1458.
[9] 刘婷,黄永红,白焕焕. ICP-AES 法同时测定钛合金中钽、铌、钨元素含量 [J]. 钛工业进展,2013, 30 (6): 38-41.
[10] 罗策,刘婷,白焕焕,等. YS/T 1262-2018《海绵钛、钛及钛合金化学分析方法 多元素含量的测定 电感耦合等离子体原子发射光谱法》应用解析 [J]. 中国标准化,2021,(11): 184-188.
(注,原文标题:ICP-AES法测定Ti175高温钛合金中9种元素方法探究)
无相关信息
